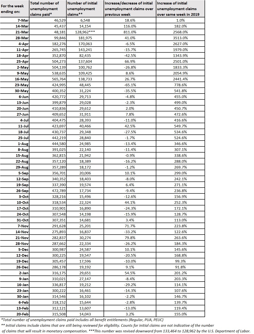
During the week of February 14 – 20, there were 14,043 initial regular unemployment claims (up 3.2 percent from the prior week) and 462,218 total claims for all unemployment benefit categories (up 3.3 percent from the prior week) filed by Washingtonians, according to the Employment Security Department (ESD).  

  • Initial regular claims applications remain at elevated levels and are at 155 percent above last year’s weekly new claims applications.
  • Initial claims for Pandemic Unemployment Assistance (PUA) and Pandemic Emergency Unemployment Compensation (PEUC) decreased over the week while initial and continued claims for regular benefits increased over the week.
  • Increases in layoffs in Construction, Agriculture and Accommodation & Food Services led the overall increase in regular initial claims last week. Regular initial claims in the Construction sector increased by 422 initial claims over the week to 2,766 total regular initial claims. Washington was one of 12 states that had increases in initial claims during the week ending Feb. 20.

In the week ending February 20, ESD paid out over $249 million for 315,508 individual claims. Since the crisis began in March, ESD has paid more than $15 billion in benefits to over a million Washingtonians.

Unemployment claim typeWeek of February 14- February 20Week of February 7- February 13Week of January 31- February 6
Regular Unemployment Insurance (UI) initial claims14,04313,60715,644
Pandemic Unemployment Assistance (PUA) initial claims2,2772,6383,150
Pandemic Emergency Unemployment Compensation (PEUC) initial claims3,1563,5473,990
Continued/ongoing weekly claims442,742427,620459,658
Total claims462,218447,412482,442

Note: Detailed claims data and charts by county, industry and occupation will be included in this release on a monthly basis. You can find detailed claims data anytime on the ESD website.

Below is a fifty-one week summary of statewide initial claims filed since the start of the COVID-19 crisis:51week Claims Table Feb. 14 - 20Statewide initial claims line chart Feb. 14 - 20Statewide total claims line chart Feb. 14 - 20